-
[NLP] 모두를 위한 딥러닝 : "Linear Regression 의 개념"ML/NLP 2020. 5. 26. 15:28

Linear Regression?
1. Training data set 준비
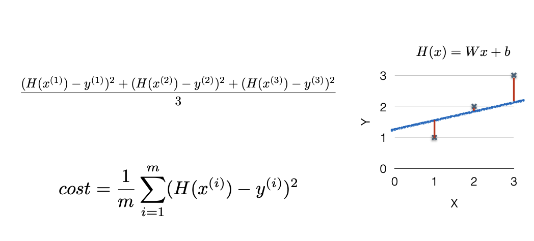
x y 1 1 2 2 3 3 
Training data set 2. (Linear) Hypothesis 세우기

Linear regression Training set의 점들의 집합을 Linear한 선으로 예측해보는 것
예측 상황 예시) 공부 시간이 많으면 성적이 좋다, 훈련 시간이 많으면 결과가 좋다, 크기가 클 수록 가격이 높다
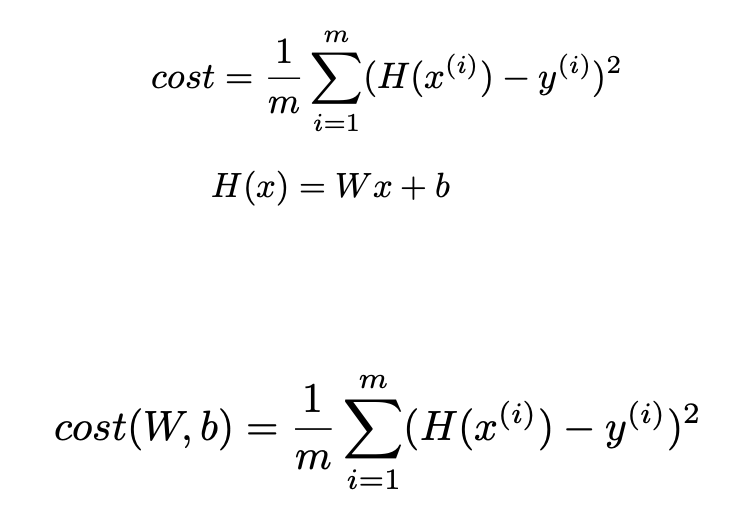
3. 어떤 Hypothesis가 좋은지 판단하는 Cost(Loss) function

m : 데이터의 개수 - Linear Hypothesis가 얼마나 틀렸나 확인할 때 계산할 수 있는 함수 = Cost function
- 단순히 (예측값-정답)하기 보다, (예측값-정답)을 제곱함으로써 크게 잘못 예측한 것이 더 많은 패널티를 주게 됨4. Linear regression의 학습은 Cost function의 값을 최소화하는 W와 b를 찾는 것!

<Reference>
모두를 위한 머신러닝/딥러닝 강의
hunkim.github.io
'ML > NLP' 카테고리의 다른 글
[ICLR 2022] Learning Strides in Convolutional Neural Networks - 아는 만큼 읽기 (0) 2022.06.20 [NLP] 모두를 위한 딥러닝 : "Linear Regression cost함수 최소화" (0) 2020.05.26 [NLP] 모두를 위한 딥러닝 : "머신러닝의 개념과 용어" (0) 2020.05.26 [NLP] 합성곱 신경망 CNN : 합성곱/풀링 계층 구현 (1) 2020.05.12 [NLP] 합성곱 신경망 CNN : 합성곱 연산, 배치 처리, 풀링 계층 (1) 2020.05.10